Blog
TAREAS ESPECIFICAS
22.09.2012 23:21ANÌMATE
2x2-3x-5=0
A= -2
B= 3
C= 5
Segundo Paso: Colocar los números de la ecuación segun la fórmula:
Debemos saber que la fórmula para hacer una ecuación de segundo grado es la siguiente:

Ahora solo debemos ir colocando los números de la ecuación, en este ejemplo quedaria de esta manera:

Tercer Paso: Realizar las operaciones
Primero, realizaremos las operaciones que hay en la raiz cuadrada y los numeros que dividen debajo, hasta que lo tengamos de la siguiente forma:

Ahora hacemos la raiz cuadrada. En este caso, la raiz cuadrada de 49 es 7. Cuando la hagamos nos debe quedar así:

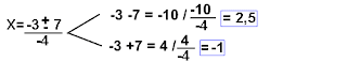
Bien, ahora debemos hacer con esto dos operaciones. Donde tenemos el +- junto significa que una operación será con un + y otra con un -. Entonces todo quedará así:

Aquí termina la guia para hacer ecuaciones de segundo grado.
En el caso de esta ecuación, los dos resultados serían: 2,5 y -1.